Lợi Nguyễn
Hỏi từ APP VIETJACK
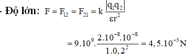
Hai điện tích q1= 2.10-⁸C, q2=10-⁸ đặt cách nhau 20cm trong không khí. Xác định độ lớn và vẽ hình lực tương tác của chúng
Quảng cáo
2 câu trả lời 2937
3 năm trước
Lực tương tác giữa hai điện tích điểm q1q1 và q2q2 là −→F12F12→và −→F21F21→ có:
- Phương là đường thẳng nối hai điện tích q1q1 và q2q2
- Chiều là: chiều lực hút vì q1q2<0

Vậy lực điện tương tác giữa hai điện tích là:4,5.10^-5N
Quảng cáo
Bạn muốn hỏi bài tập?
Câu hỏi hot cùng chủ đề
-
64977
-
58790
-
44767
Gửi báo cáo thành công!

