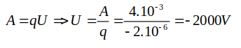
Câu 4: Công của lực điện trường dịch chuyển một điện tích – 2.10-6 C từ A đến B là 4.10-3 J. Tính hiệu điện thế UAB
Quảng cáo
1 câu trả lời 5928
Quảng cáo
Bạn cần hỏi gì?
Câu hỏi hot cùng chủ đề
-
Đã trả lời bởi chuyên gia
126421 -
Đã trả lời bởi chuyên gia
64998 -
Hỏi từ APP VIETJACK
Đã trả lời bởi chuyên gia
63926 -
Đã trả lời bởi chuyên gia
58818 -
Đã trả lời bởi chuyên gia
44774
Gửi báo cáo thành công!

