Oxi hoá 9,2 gam ancol etylic bằng CuO đun nóng thu được 13,2 gam hỗn hợp gồm anđehit, axit, ancol dư và nước. Hỗn hợp này tác dụng với Na sinh ra 3,36 lít H2 (ở đktc). Phần trăm ancol bị oxi hoá là:
A. 25%.
B. 50%.
C. 75%.
D. 90%.
Quảng cáo
1 câu trả lời 998
5 năm trước
Đáp án C
Hướng dẫn
Theo giả thiết ta có :
Phương trình phản ứng :
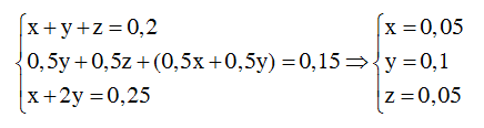
Theo các phương trình phản ứng và giả thiết ta có :
Theo các phương trình phản ứng và giả thiết ta có :
Vậy phần trăm khối lượng ancol bị oxi hóa là :
Quảng cáo
Bạn cần hỏi gì?
Câu hỏi hot cùng chủ đề
-
Đã trả lời bởi chuyên gia
24882 -
Đã trả lời bởi chuyên gia
14167 -
Đã trả lời bởi chuyên gia
11024 -
Đã trả lời bởi chuyên gia
8192 -
Đã trả lời bởi chuyên gia
7470
Gửi báo cáo thành công!
