Hai xạ thủ cùng bắn mỗi nhười một viên đạn vào bia một cách độc lập với nhau. Xác suất bắn trúng bia của hai xạ thủ lần lượt là 1/2 và 1/3
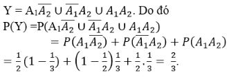
b) Tính xác suất của biến cố Y:”có ít nhất một xạ thủ không bắn trúng bia”
A. 1/2
B. 1/3
C. 1/6
D. 2/3
Quảng cáo
1 câu trả lời 428

Nhận xét: một số sai lầm học sinh thường mắc phải là:

b) Hiểu sai biến cố Y theo các cách:
- Xạ thủ thứ nhất bắn trúng: P(Y) = P(A1) = 1/2
- Xạ thủ thứ hai bắn trúng: P(Y) = P(A2) = 1/3
- Cả hai xạ thủ bắn trúng: P(X) =P(A1A2) = P(A1)P(A2) = 1/6
Chọn D
Quảng cáo
Bạn cần hỏi gì?
Câu hỏi hot cùng chủ đề
-
Đã trả lời bởi chuyên gia
13271 -
Đã trả lời bởi chuyên gia
12302
Gửi báo cáo thành công!
