Một lớp học có 40 học sinh trong đó coa 15 học sinh giỏi Toán, 10 học sinh giỏi Văn và 5 học sinh giỏi cả Văn và Toán. Chọn ngẫu nhiên một học sinh.
c) Xác suất của biến cố C:”học sinh được chọn không giỏi Văn và Toán” là:
A. 15/32
B. 7/8
C. 1/2
D. Một đáp số khác
Quảng cáo
1 câu trả lời 703
Ta có n(Ω) = 40
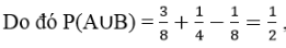
c) Nhận thấy :
![]()
![]()
Mà P(A∪B) = P(A) + P(B) –P(A∩B), A∩B là biến cố:”học sinh được chọn giỏi cả Văn và Toán” nên n(A∩B)=5/40=1/8
![]()
![]()
Chọn đáp án C
Nhận xét:
ở ý a) và b) học sinh có thể nhầm khi quan niệm: chọn 1 học sinh nên n(A) =n(B) =1 ⇒ phương án A; hoặc chọn 1 học sinh trong 5 học sinh giỏi Toán và Văn nên n(A) =n(B) = 5
⇒ P(A) =P(B) =5/40=1/8 (phương án D); hoặc sử dụng nhầm công thức P(A) =(n(Ω))/(n(A))=8/3;P(B)=(n(Ω))/(n(B))=4 (phương án C)
ở ý c), học sinh có thể nhầm khi quan niệm:
![]()
![]()
![]()
Nhưng không phải là hai biến cố độc lập

![]()
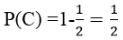
Có thể giải ý c) cách khác như sau:
Số học sinh giỏi Văn và Toán gồm: học sinh giỏi Văn, học sinh hioir Toán, học sinh giỏi cả Văn và Toán nên bằng (15 +10) -5 = 20 em. Do đó, số học sinh không giỏi cả Toán và Văn là 40 – 20 = 20 em, nên n(C) = 20
Vì vậy P(C) =(n(C))/(n(Ω))=1/2
Quảng cáo
Bạn cần hỏi gì?
Câu hỏi hot cùng chủ đề
-
Đã trả lời bởi chuyên gia
13271 -
Đã trả lời bởi chuyên gia
12302
