Xác định hệ số của số hạng chứa trong khai triển
A. 160
B. -160
C.
D.
Quảng cáo
1 câu trả lời 443
Ta có
(x2-2/x)2=Cno(x2)n+Cn1(x2 )n-1((-2)/x)+Cn2(x2 )n-2(-2/x)2+⋯=Cnox2n-2Cn1 x2n-3+4Cn2 x2n-6+⋯
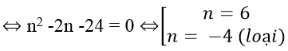
Theo giả thiết ta có: Cn0-2Cn1+4Cn2=49 ⇔ 1-2n + 2n(n -1) = 49

Vậy n = 6. Từ đó ta có số hạng tổng quát trong khai triển (x2-2/x)6 là:
C6k.(x2 )(6-k) .((-2)/x)k=(-2)k.C6k.x12-3k
Như vậy phải có 12 – 3k = 3 ⇔ k = 3
Do đó hệ số của số hạng chứa x3 là (-2)3C63= -160
Chọn đáp án là B
Nhận xét: học sinh có thể mắc phải những sai lầm
Tính nhầm dấu thành 160 (phương án A)
Đáp số là cả số hạng chứa x3 là -160x3(phương án D)
Vừa tính nhầm vừa kết luận cả số hạng chứa x3 là 160x3( phương án C)
Quảng cáo
Bạn cần hỏi gì?
Câu hỏi hot cùng chủ đề
-
Đã trả lời bởi chuyên gia
13271 -
Đã trả lời bởi chuyên gia
12302
