Giải phương trình:
A. x = -1
B. x = 4
C. x = -1 và x =4
D. x = -1, x=4 và x = 0
Quảng cáo
1 câu trả lời 303
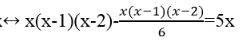
Điều kiện x∈N, x≥3
![]()
![]()
![]()
![]()
Vậy x = 4
Nhận xét. Học sinh có thể quên đặt điều kiện cho x nên tìm ra 3 nghiệm( x=0,x=-1,x=4)
Chọn D
Quảng cáo
Bạn cần hỏi gì?
Câu hỏi hot cùng chủ đề
-
Đã trả lời bởi chuyên gia
13271 -
Đã trả lời bởi chuyên gia
12302
Gửi báo cáo thành công!
