Giải phương trình (x là ẩn số)
A. x= 5 và x= -2
B. x = 5
C. x= -2
D. vô nghiệm
Quảng cáo
1 câu trả lời 1808
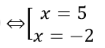
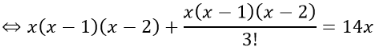
Điều kiện x ∈ N và x ≥ 3, ta có:
![]()
![]()
![]()
![]()
Đối chiếu với điều kiện được x = 5
Chọn phương án B
Quảng cáo
Bạn cần hỏi gì?
Câu hỏi hot cùng chủ đề
-
Đã trả lời bởi chuyên gia
13271 -
Đã trả lời bởi chuyên gia
12302
Gửi báo cáo thành công!
