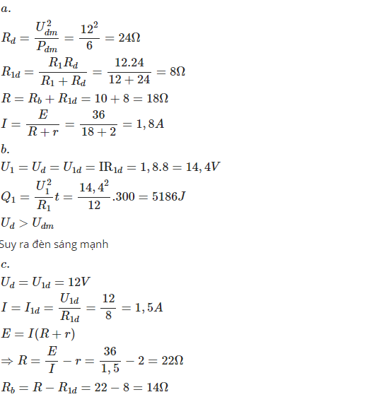
Cho mạch điện gôm điện trở R1= 12 ôm, đèn ghi 12V-6W, biến trở ban đầu có giá trị Rb=10 ôm, Nguồn điện có suất điện động 36V, điện trở trong 2 ôm.
a. Tính cường độ dòng điện chạy trong mạch
b. Điều chỉnh biến trở để đèn sáng bình thường. Tìm giá trị của Rb
a. Tính cường độ dòng điện chạy trong mạch
b. Điều chỉnh biến trở để đèn sáng bình thường. Tìm giá trị của Rb
Quảng cáo
1 câu trả lời 7896
Quảng cáo
Bạn cần hỏi gì?
Câu hỏi hot cùng chủ đề
-
Đã trả lời bởi chuyên gia
126736 -
Đã trả lời bởi chuyên gia
67452 -
Hỏi từ APP VIETJACK
Đã trả lời bởi chuyên gia
64198 -
Đã trả lời bởi chuyên gia
59282 -
Đã trả lời bởi chuyên gia
47035
Gửi báo cáo thành công!

